搜索
题目内容
已知3m=n,求
的值。
试题答案
相关练习册答案
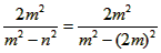
解:
=
当3m=n时,
=
练习册系列答案
课课练与单元测试系列答案
世纪金榜小博士单元期末一卷通系列答案
单元测试AB卷台海出版社系列答案
黄冈新思维培优考王单元加期末卷系列答案
名校名师夺冠金卷系列答案
小学英语课时练系列答案
培优新帮手系列答案
天天向上一本好卷系列答案
小学生10分钟应用题系列答案
课堂作业广西教育出版社系列答案
相关题目
已知3m=n,求
m
m+n
+
m
m-n
的值.
已知关于x、y的二元一次方程组
x+y=3m+3
x-y=m-5
(1)求这个方程组的解;(用含有m的代数式表示)
(2)若这个方程组的解,x的值是负数,y的值是正数,求m的整数值.
已知3m=n,求
的值.
已知3m=n,求
m
m+n
+
m
m-n
的值.
关 闭
试题分类
高中
数学
英语
物理
化学
生物
地理
初中
数学
英语
物理
化学
生物
地理
小学
数学
英语
其他
阅读理解答案
已回答习题
未回答习题
题目汇总
试卷汇总
练习册解析答案