题目内容
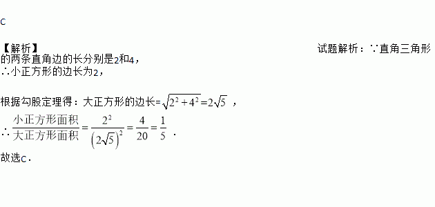
“赵爽弦图”是四个全等的直角三角形与中间一个小正方形拼成的大正方形,如图,其直角三角形的两条直角边的长分别是2和4,则小正方形与大正方形的面积比是( )
![]()
A. 1:2 B. 1:4 C. 1:5 D. 1:10
练习册系列答案
相关题目
题目内容
“赵爽弦图”是四个全等的直角三角形与中间一个小正方形拼成的大正方形,如图,其直角三角形的两条直角边的长分别是2和4,则小正方形与大正方形的面积比是( )
![]()
A. 1:2 B. 1:4 C. 1:5 D. 1:10