题目内容
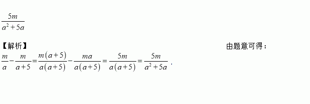
我国是一个水资源贫乏的国家,第每一个公民都应自觉养成节约用水的意识和习惯。为提高水资源的利用效率,某住宅小区安装了循环用水装置,经测算,原来
天需用水
吨,现在这些水可多用5天,现在每天比原来少用水__吨。
练习册系列答案
相关题目
题目内容
我国是一个水资源贫乏的国家,第每一个公民都应自觉养成节约用水的意识和习惯。为提高水资源的利用效率,某住宅小区安装了循环用水装置,经测算,原来
天需用水
吨,现在这些水可多用5天,现在每天比原来少用水__吨。