ÌâÄ¿ÄÚÈÝ

¿¼¹Åѧ¼Ò´ÓÓ×·¢À­µ×ºÓ¸½½üµÄÒ»×ùËÂÃíÀ·¢¾ò³öÊýǧ¿éÄà°åÊ飬ËûÃÇ´ÓÄà°åÊéÖз¢ÏÖÃÀË÷²»´ïÃ×ÑǵļÀìëÒѾ­ÖªµÀƽ·½±íµÄÓ÷¨£¬²¢Äܹ»ÀûÓÃÆ½·½±íËã³öÈÎÒâÁ½¸ö×ÔÈ»ÊýµÄ³Ë»ý£®

ÀýÈ磺¼ÆËã³ËÒÔ£¬¼ÀìëÃǻᰴÏÂÃæµÄÁ÷³Ì²Ù×÷£º

µÚÒ»²½£º ¼ÓÉÏ£¬½«ºÍ³ýÒԵã»

µÚ¶þ²½£º ¼õÈ¥£¬½«²î³ýÒԵã»

µÚÈý²½£º²éƽ·½±í£¬µÃµÄƽ·½ÊÇ£»

µÚËIJ½£º²éƽ·½±í£¬µÃµÄƽ·½ÊÇ£»

µÚÎå²½£º ¼õÈ¥£¬µÃµ½´ð°¸£®

ÓÚÊÇËûÃDZãµÃ³ö£®

ÇëÄãÀûÓÃËùѧµÄ´úÊý֪ʶ£¬ÉèÁ½¸ö×ÔÈ»Êý·Ö±ðΪ¡¢£¬¶ÔÄà°åÊ鼯ËãÁ½¸ö×ÔÈ»Êý³Ë»ýµÄºÏÀíÐÔ×ö³ö½âÊÍ£®

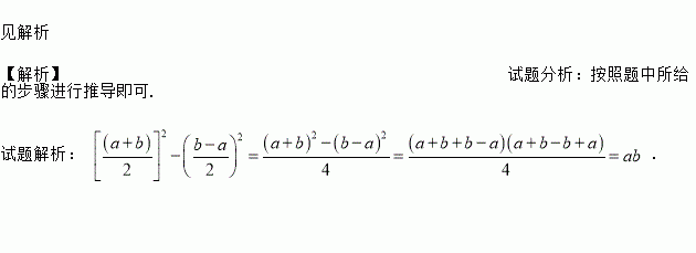
¼û½âÎö ¡¾½âÎö¡¿ÊÔÌâ·ÖÎö£º°´ÕÕÌâÖÐËù¸øµÄ²½Öè½øÐÐÍÆµ¼¼´¿É. ÊÔÌâ½âÎö£º £®
Á·Ï°²áϵÁдð°¸
Ïà¹ØÌâÄ¿

Î¥·¨ºÍ²»Á¼ÐÅÏ¢¾Ù±¨µç»°£º027-86699610 ¾Ù±¨ÓÊÏ䣺58377363@163.com

¾«Ó¢¼Ò½ÌÍø