题目内容
化简:
【答案】分析:把分式进行化简就是对分式进行约分,首先要对分子、分母进行分解因式,把互为相反数的因式化为相同的因式,然后约去分子、分母中相同的因式.
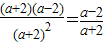
解答:解:
=
.
点评:在分式中,无论进行何种运算,如果要不改变分式的值,则所做变化必须遵循分式基本性质的要求.
分式的基本性质是分式的分子、分母同时乘以或除以同一个非0的数或式子,分式的值不变.
解答:解:
点评:在分式中,无论进行何种运算,如果要不改变分式的值,则所做变化必须遵循分式基本性质的要求.
分式的基本性质是分式的分子、分母同时乘以或除以同一个非0的数或式子,分式的值不变.
练习册系列答案
相关题目