题目内容
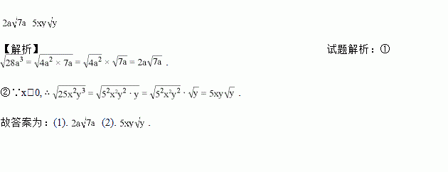
化简:①=_______;
(2) =________(x≥0,y≥0)
为落实房地产调控政策,某县加快了经济适用房的建设力度.2011年该县政府在这项建设中已投资3亿元,预计2013年投资5.88亿元,则该项投资的年平均增长率为 .
按下列程序计算,把答案填写在表格内,然后看看有什么规律,想想为什么有这样的规律?
()填表内空格:
输入
答案
()你发现的规律是__________.
()证明你发现的规律.
下列运算错误的是( )
A. -m2·m3=-m5 B. -x2+2x2=x2
C. (-a3b)2=a6b2 D. -2x(x-y)=-2x2-2xy
如果,则用含a,b的代数式表示为__________ .
当x=-3时, 的值是( )
A. ±3 B. 3 C. -3 D. 9
下列各式错误的是( )
A. B. C. D.
过点C(﹣1,﹣1)和点D(﹣1,5)作直线,则直线CD( )
A. 平行于y轴 B. 平行于x轴 C. 与y轴相交 D. 无法确定
某青少年活动中心的场地为长方形,原来长a米,宽b米.现在要把四周都向外扩展,长增加3米,宽增加2米,那么这个场地的面积增加了( )
A. 6平方米 B. (3a-2b)平方米 C. (2a+3b+6)平方米 D. (3a+2b+6)平方米