题目内容
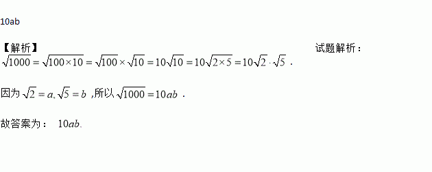
如果,则用含a,b的代数式表示为__________ .
如果方程x2+px+q=0的两个根是x1、x2,那么x1+x2=-p,x1·x2=q.请根据以上结论,解决下列问题:
(1)已知关于x的方程x2+mx+n=0 (n≠0),求出一个一元二次方程,使它的两根分别是已知方程两根的倒数;
(2)已知a、b满足a2-15a-5=0,b2-15b-5=0,求的值;
(3)已知a、b、c均为实数,且a+b+c=0,abc=16,求正数c的最小值.
一组数据2,4,m,2,4,7的众数是2,则这组数据的平均数、中位数分别为( )
A. 3.5,3 B. 3,4 C. 3,3.5 D. 4,3
如果单项式-2xa-2by2a+b与x3y8b是同类项,那么这两个单项式的积是( )
A. -2x6y16 B. -2x6y32
C. -2x3y8 D. -4x6y16
已知,且x为偶数,求(1+x)的值.
化简:①=_______;
(2) =________(x≥0,y≥0)
下列计算正确的是( )
A. B. C. D.
如果在教室内的位置用某列某行来表示,懒羊羊在教室里的座位是(a,4),那么下面说法错误的是( )
A. 懒羊羊的座位一定在第4列
B. 懒羊羊的座位一定在第4行
C. 懒羊羊的座位可能在第4列
D. 懒羊羊的座位位置可能是(4,4)
计算:(-3x)2·2x=________.