题目内容
阅读下列材料:
(1)关于x的方程x2-3x+1=0(x≠0)方程两边同时乘以
得:
即
,![]()
(2)a3+b3=(a+b)(a2-ab+b2);a3-b3=(a-b)(a2+ab+b2).
根据以上材料,解答下列问题:
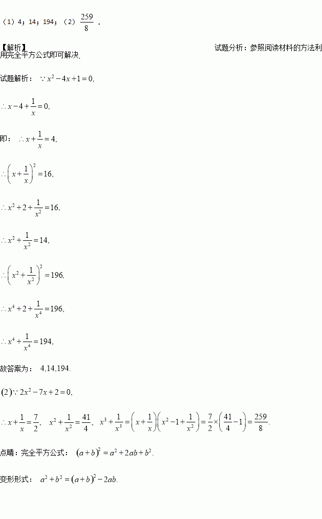
(1)x2-4x+1=0(x≠0),则
= ______ ,
= ______ ,
= ______ ;
(2)2x2-7x+2=0(x≠0),求
的值.
练习册系列答案
相关题目
题目内容
阅读下列材料:
(1)关于x的方程x2-3x+1=0(x≠0)方程两边同时乘以
得:
即
,![]()
(2)a3+b3=(a+b)(a2-ab+b2);a3-b3=(a-b)(a2+ab+b2).
根据以上材料,解答下列问题:
(1)x2-4x+1=0(x≠0),则
= ______ ,
= ______ ,
= ______ ;
(2)2x2-7x+2=0(x≠0),求
的值.