题目内容
单项式的系数是__________.
下列各未知数的值是方程的解的是( )
A. B. C. D.
观察下列图形
它们是按一定规律排列的:(1)依照此规律,第8个图形共有_____枚五角星.
(2)用代数式表示第n个图形共有_____枚五角星
(3)第99个图形共有多少枚五角星?
已知,m、n互为相反数,p、q互为倒数,的绝对值为,求的值.
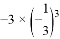
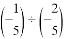
计算:
(1);(2);(3);
(4);(5);(6)
对乘积记法正确的是( )
分解因式:(1)m4-2(m2-);(2)x2-9y2+x+3y.
如图,D、E分别是△ABC的边AB、BC上的点,且DE∥AC,AE、CD相交于点O,
若S△DOE:S△COA=1:25,则S△BDE与S△CDE的比=___________.
昆曲高速公路全长128千米,甲、乙两车同时从昆明、曲靖两地高速路收费站相向匀速开出,经过40分钟相遇,甲车比乙车每小时多行驶20千米.求甲、乙两车的速度.