题目内容
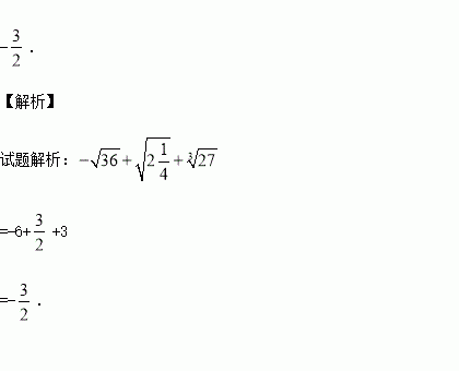
计算:= .
如图,关于x的一元一次不等式ax-2>0的解集在数轴上表示如下,则关于y的方程ay+2=0的解为( )
A.y=-2 B.y=2 C.y=-1 D.y=1
袋中装有除颜色外其余都相同的红球和黄球共25个,小明通过多次模拟实验后,发现摸到的红球、黄球的概率分别是和,则袋中黄球有 个.
2的倒数是( )
A.2 B.-2 C. D.-
先化简,再求值:,在0,1,2三个数中选一个合适的,代入求值.
如图,正方形ABCD的周长为28 cm,则矩形MNGC的周长是( )
A.24cm B.14cm C.18cm D.7cm
-2016的相反数是( )
A. B.-2016 C.- D.2016
不等式组的解集是 ;计算:-= .
如图,?ABCD的对角线AC、BD交于点O,EF过点O且与BC、AD分别交于点E、F.试猜想线段AE、CF的关系,并说明理由.