题目内容
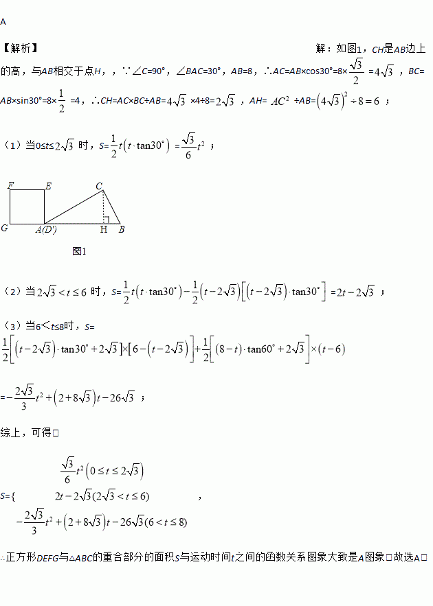
如图,Rt△ABC中∠C=90°,∠BAC=30°,AB=8,以2
为边长的正方形DEFG的一边GD在直线AB上,且点D与点A重合,现将正方形DEFG沿A﹣B的方向以每秒1个单位的速度匀速运动,当点D与点B重合时停止,则在这个运动过程中,正方形DEFG与△ABC的重合部分的面积S与运动时间t之间的函数关系图象大致是( )
![]()
A.
B.
C.
D. ![]()
练习册系列答案
相关题目
题目内容
如图,Rt△ABC中∠C=90°,∠BAC=30°,AB=8,以2
为边长的正方形DEFG的一边GD在直线AB上,且点D与点A重合,现将正方形DEFG沿A﹣B的方向以每秒1个单位的速度匀速运动,当点D与点B重合时停止,则在这个运动过程中,正方形DEFG与△ABC的重合部分的面积S与运动时间t之间的函数关系图象大致是( )
![]()
A.
B.
C.
D. ![]()