题目内容

如图在正方形上连接等腰直角三角形和正方形,无限重复同一过程,第一个正方形的边长为1,第1个正方形与第1个等腰直角三角形的面积和为S1,第2个正方形与第2个等腰直角三角形的面积和为S2,。。。。。第n个正方形与第n个等腰直角三角形的面积和为Sn
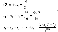
【小题1】计算S1   S2   S3的值
【小题2】猜想S1+ S2+ S3+ ……….+Sn与n的关系
                                              


【小题1】

【小题2】

解析

练习册系列答案
相关题目

违法和不良信息举报电话:027-86699610 举报邮箱:58377363@163.com

精英家教网