题目内容
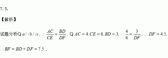
已知直线a∥b∥c,直线m,n与直线a,b,c分别交于点A,C,E,B,D,F,AC=4,CE=6,BD=3,则BF= 。
如图,在菱形ABCD中,点E是BC边的中点,动点M在CD边上运动,以EM为折痕将△CEM折叠得到△PEM,联接PA,若AB=4,∠BAD=60°,则PA的最小值是( )
A. B. 2 C. 2﹣2 D. 4
计算()-1 -tan 60? +-|1-|
如图,已知△ABC中,∠ACB=90°,AC=1,BC=2,CD平分∠ACB交边AB与点D,P是射线CD上一点,联结AP.
(1)求线段CD的长;
(2)当点P在CD的延长线上,且∠PAB=45°时,求CP的长;
(3)记点M为边AB的中点,联结CM、PM,若△CMP是等腰三角形,求CP的长.
如图,△ABC中,∠C=90°,AC=BC=4,将△ABC翻折,使得点A落在BC的中点A'处,折痕分别交边AB、AC于点D、点E,那么AD:AE的值为_____.
(在比例尺是1:15000000的地图上,测得甲乙两地的距离是2厘米,那么甲乙两地的实际距离是_____千米.
已知,那么的值为( )
A. B. C. D.
如图,直线与x轴、y轴分别交于A、B两点,把△AOB沿直线AB翻折后得到△AO′B,则点O′的坐标是( )
A.(,3) B.(,) C.(2,) D.(,4)
先化简,再求值, .