题目内容
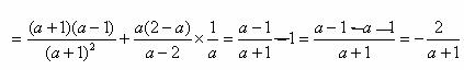
化简求值:,其中
原式
当时,原式
已知:如图,已知△ABC,分别画出与△ABC关于轴、轴对称的图形△A1B1C1 和△A2B2C2 ;
当x=__________时,分式无意义.
下列命题中的真命题是( ).
A. 对角线互相垂直的四边形是菱形 B. 中心对称图形都是轴对称图形
C. 两条对角线相等的梯形是等腰梯形 D. 等腰梯形是中心对称图形
如图,AB是⊙O的直径,C、D是圆上的两点(不与A、B重合),已知BC=2,tan∠ADC=1,则AB=__________.
学习过三角函数,我们知道在直角三角形中,一个锐角的大小与两条边长的比值相互唯一确定,因此边长与角的大小之间可以相互转化.
类似的,可以在等腰三角形中建立边角之间的联系,我们定义:等腰三角形中底边与腰的比叫做顶角的正对(sad).如图,在△ABC中,AB=AC,顶角A的正对记作sadA,这时sad A=.容易知道一个角的大小与这个角的正对值也是相互唯一确定的.
根据上述对角的正对定义,解下列问题:
(1)sad 的值为( )A. B. 1 C. D. 2
(2)对于,∠A的正对值sad A的取值范围是 .
(3)已知,其中为锐角,试求sad的值.
从分别写有数字的九张一样的卡片中,任意抽取一张卡片,则所抽卡片上数字的绝对值小于2的概率是( )
A. B. C. D.
如图,在梯形ABCD中,AD∥BC,AD=2,BC=4,点M是AD的中点,△MBC是等边三角形.动点P、Q分别在线段BC和MC上运动(不与端点重合),且∠MPQ=60°保持不变.以下四个结论:①梯形ABCD是等腰梯形;②△BMP∽△CPQ;③△MPQ是等边三角形;④)设PC=,MQ=,则关于的函数解析式是二次函数.
(1)判断其中正确的结论是哪几个?
(2)从你认为是正确的结论中选一个加以证明.
如图5319,在正八边形ABCDEFGH中,四边形BCFG的面积为20 cm2,则正八边形的面积为______ cm2.