题目内容
比较下面两个算式结果的大小(在横线上填“>”“<”或“=”):
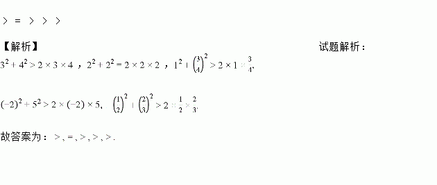
32+42__________2×3×4, 22+22__________2×2×2,
12+(
)2_________2×1×
,(-2)2+52__________2×(-2)×5,
(
)2+(
)2__________2×
×
.
练习册系列答案
相关题目
题目内容
比较下面两个算式结果的大小(在横线上填“>”“<”或“=”):
32+42__________2×3×4, 22+22__________2×2×2,
12+(
)2_________2×1×
,(-2)2+52__________2×(-2)×5,
(
)2+(
)2__________2×
×
.