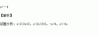
题目内容
不等式
的解是 .
练习册系列答案
相关题目
(10分)大学生小张利用暑假50天在一超市勤工俭学,被安排销售一款成本为40元/件的新型商品,此类新型商品在第x天的销售量p件与销售的天数x的关系如下表:
x(天) | 1 | 2 | 3 | … | 50 |
p(件) | 118 | 116 | 114 | … | 20 |
销售单价q(元/件)与x满足:当1≤x<25时q=x+60;当25≤x≤50时
.
(1)请分析表格中销售量p与x的关系,求出销售量p与x的函数表达式.
(2)求该超市销售该新商品第x天获得的利润y元关于x的函数表达式.
(3)这50天中,该超市第几天获得利润最大?最大利润为多少?