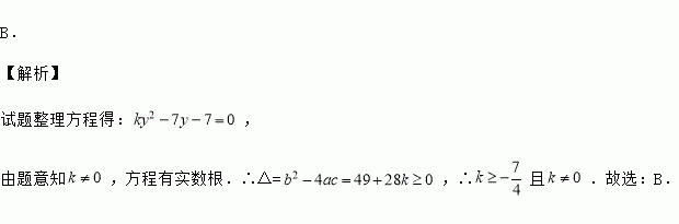
题目内容
若关于y的一元二次方程有实根,则k的取值范围是( )
A. B.且
C. D.且
在平面直角坐标系中,抛物线与轴的交点分别为,.
求证:抛物线总与轴有两个不同的交点;
若,求此抛物线的解析式.
已知轴上两点,,若抛物线与线段有交点,请写出的取值范围.
等腰三角形两边的长分别为2cm和5cm,则这个三角形的周长是( )
A. 9cm B. 12cm C. 9cm和12cm D. 在9cm与12cm之间
请你写一个能先提公因式、再运用公式来分解因式求解的方程,并写出方程的解________.
方程的根是( )
A. x=p± B. x=-p± C. x=±p+ D. x=±(p+)
解方程:
(1)用配方法解
(2)用适当的方法解
下列一元二次方程是一般形式的是( )
A. B. C. D.
如图,在海上观察所A,我边防海警发现正北5km的B处有一可疑船只正在向东方向12km的C处行驶.我边防海警即刻派船前往C处拦截.若可疑船只的行驶速度为60km/h,则我边防海警船的速度为多少时,才能恰好在C处将可疑船只截住?
中,,,点从点开始沿边向点以的速度移动,点从点开始沿边向点以的速度移动,如果,分别从,同时出发,经过( )秒钟与相似?( )
A. 2.5 B. 3.5 C. 1和2.5 D. 1和3.5