题目内容
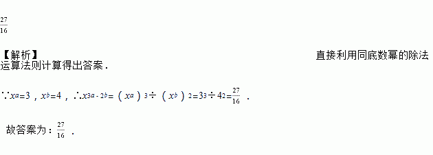
已知xa=3,xb=4,则x3a﹣2b的值是_____.
直线y=mx+n和抛物线y=ax2+bx+c在同一坐标系中的位置如图所示,那么不等式mx+n<ax2+bx+c<0的解集是_____.
先化简,再求值:[(x+2y)2﹣(x+y)(3x﹣y)﹣5y2]÷2x,其中x=﹣2,y=.
在食品包装、街道、宣传标语上随处可见节能、回收、绿色食品、节水的标志,在下列这些示意图标中,是轴对称图形的是( )
A. B. C. D.
标号为A、B、C、D的四个盒子中所装有的白球和黑球数如下,则下列盒子最易摸到黑球的是( )
A. 12个黑球和4个白球 B. 10个黑球和10个白球
C. 4个黑球和2个白球 D. 10个黑球和5个白球
如图,⊙O中,点A,O,D以及点B,O,C分别在一条直线上,图中弦的条数有( )
A. 2条 B. 3条 C. 4条 D. 5条
已知 4a +3b =1 ,则整式 8a +6b - 3 的值为___________.