题目内容
如果一个三角形的两边长分别为2和5,则第三边长可能是( )
A. 2 B. 3 C. 5 D. 8
如图,在⊙O中,B,P,A,C是圆上的点,PB= PC, PD⊥CD,CD交⊙O于A,若AC=AD,PD =,sin∠PAD =,则△PAB的面积为_______.
若关于x的一元一次不等式组无解,则m的取值范围为_____.
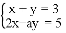
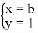
若关于x、y的二元一次方程组的解是,则的值为_____.
已知am=3,an=4,则am+n的值为( )
A. B. C. 7 D. 12
(2016四川省攀枝花市)如图,在平面直角坐标系中,O为坐标原点,△ABO的边AB垂直与x轴,垂足为点B,反比例函数(x>0)的图象经过AO的中点C,且与AB相交于点D,OB=4,AD=3.
(1)求反比例函数的解析式;
(2)求cos∠OAB的值;
(3)求经过C、D两点的一次函数解析式.
如图,正五边形的边长为2,连接对角线AD,BE,CE,线段AD分别与BE和CE相交于点M,N,给出下列结论:①∠AME=108°;②;③MN=;④.其中正确结论的序号是_____.
﹣的相反数是 ( )
A. 3 B. ﹣3 C. D. ﹣
小芳抛一枚硬币10次,有7次正面朝上,当她抛第11次时,正面朝上的概率为______.