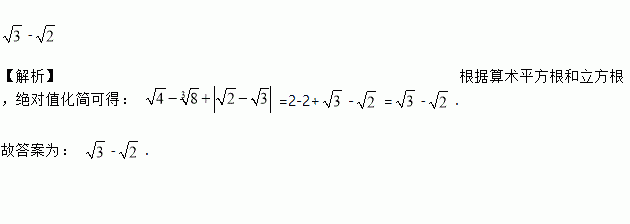
题目内容
计算:
=______.
练习册系列答案
相关题目
我区移动公司为了调查手机发送短信息的情况,在本区域的120位用户中抽取了10位用户来统计他们某周发信息的条数,结果如下表:
手机用户序号 | 1 | 2 | 3 | 4 | 5 | 6 | 7 | 8 | 9 | 10 |
发送短信息条数 | 20 | 19 | 20 | 20 | 21 | 17 | 15 | 23 | 20 | 25 |
本次调查中这120位用户大约每周一共发送______条短信息.
2400 【解析】试题分析:先求出样本的平均数,再根据总体平均数约等于样本平均数列式计算即可. 【解析】 ∵这10位用户的平均数是(20×4+19+21+17+15+23+25)÷10=20(条), ∴这100位用户大约每周发送20×120=2400(条); 故答案为:2400.