题目内容
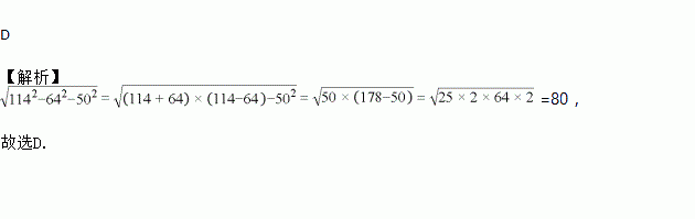
计算 之值为何?( )
A. 0 B. 25 C. 50 D. 80
如图,AB是⊙O的直径,C,D是⊙O上的点,∠CDB=30°,过点C作⊙O的切线交AB的延长线于E,则sin E的值为( )
A. B. C. D.
一个几何体的三视图如图所示,这个几何体是( )
A. 棱柱 B. 正方形 C. 圆柱 D. 圆锥
下列运算正确的是( )
A. -= B. =2 C. -= D. =2-
已知a-b=+,b-c=-,求a-c的值.
如图,∠1+∠2=180°,∠DAE=∠BCF,DA平分∠BDF.
(1)AE与FC会平行吗?说明理由.
(2)AD与BC的位置关系如何?为什么?
(3)BC平分∠DBE吗?为什么.
如图,直线AB、CD、EF相交于同一点O,而且∠BOC=∠AOC,∠DOF=∠AOD,那么∠FOC=_____度.
某工厂计划生产A、B两种产品共50件,需购买甲、乙两种材料.生产一件A产品需甲种材料30千克、乙种材料10千克;生产一件B产品需甲、乙两种材料各20千克.经测算,购买甲、乙两种材料各1千克共需资金40元,购买甲种材料2千克和乙种材料3千克共需资金105元.
(1)甲、乙两种材料每千克分别是多少元?
(2)现工厂用于购买甲、乙两种材料的资金不超过38000元,且生产B产品不少于28件,问符合条件的生产方案有哪几种?
(3)在(2)的条件下,若生产一件A产品需加工费200元,生产一件B产品需加工费300元,应选择哪种生产方案,使生产这50件产品的成本最低?(成本=材料费+加工费)
某天早晨,王老师从家出发步行前往学校,途中在路边一饭店吃早餐,如图所示是王老师从家到学校这一过程中所走的路程S(米)与时间t(分)之间的关系.
(1)学校离他家 米,从出发到学校,王老师共用了 分钟;
(2)王老师吃早餐用了多少分钟?
(3)王老师吃早餐以前的速度快还是吃完早餐以后的速度快?吃完早餐后的平均速度是多少?