题目内容
已知二次函数y=x2+bx+c中,函数y与自变量x的部分对应值如下表:| x | … | -1 | 1 | 2 | 3 | 4 | … | |
| y | … | 10 | 5 | 2 | 1 | 2 | 5 | … |
(2)当x为何值时,y有最小值,最小值是多少?
(3)若A(m,y1),B(m+1,y2)两点都在该函数的图象上,试比较y1与y2的大小.
【答案】分析:(1)从表格中取出2组解,利用待定系数法求解析式;
(2)利用顶点坐标求最值;
(3)利用二次函数的单调性比较大小.
解答:解:(1)根据题意,
当x=0时,y=5;
当x=1时,y=2;
∴
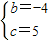
,解得
,
∴该二次函数关系式为y=x2-4x+5;
(2)∵y=x2-4x+5=(x-2)2+1,
∴当x=2时,y有最小值,最小值是1,
(3)∵A(m,y1),B(m+1,y2)两点都在函数y=x2-4x+5的图象上,
所以,y1=m2-4m+5,
y2=(m+1)2-4(m+1)+5=m2-2m+2,
y2-y1=(m2-2m+2)-(m2-4m+5)=2m-3,
∴①当2m-3<0,即m<
时,y1>y2;
②当2m-3=0,即m=
时,y1=y2;
③当2m-3>0,即m>
时,y1<y2.
点评:主要考查了用待定系数法求二次函数的解析式和二次函数的最值的求法即其性质.渗透分类讨论思想.
(2)利用顶点坐标求最值;
(3)利用二次函数的单调性比较大小.
解答:解:(1)根据题意,
当x=0时,y=5;
当x=1时,y=2;
∴
∴该二次函数关系式为y=x2-4x+5;
(2)∵y=x2-4x+5=(x-2)2+1,
∴当x=2时,y有最小值,最小值是1,
(3)∵A(m,y1),B(m+1,y2)两点都在函数y=x2-4x+5的图象上,
所以,y1=m2-4m+5,
y2=(m+1)2-4(m+1)+5=m2-2m+2,
y2-y1=(m2-2m+2)-(m2-4m+5)=2m-3,
∴①当2m-3<0,即m<
②当2m-3=0,即m=
③当2m-3>0,即m>
点评:主要考查了用待定系数法求二次函数的解析式和二次函数的最值的求法即其性质.渗透分类讨论思想.
练习册系列答案
相关题目
已知二次函数y=x2+(2a+1)x+a2-1的最小值为0,则a的值是( )
A、
| ||
B、-
| ||
C、
| ||
D、-
|
| A、x1=1,x2=3 | B、x1=0,x2=3 | C、x1=-1,x2=1 | D、x1=-1,x2=3 |