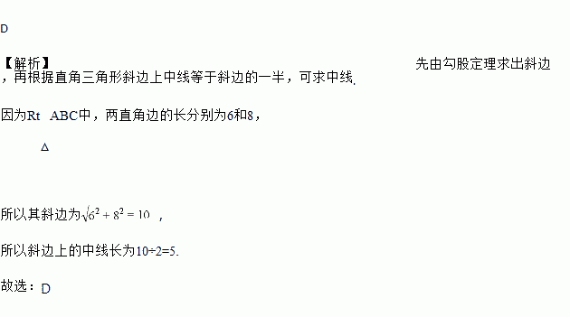
题目内容
在Rt△ABC中,两直角边的长分别为6和8,则其斜边上的中线长为( )
A. 10 B. 3 C. 4 D. 5
练习册系列答案
相关题目
甲、乙两名队员参加射击训练,成绩被分别绘制成如下两个统计图:
![]()
根据以上信息,整理分析数据如下:
平均成绩(环) | 中位数(环) | 众数(环) | 方差 | |
甲 | a | 7 | 7 | 1.2 |
乙 | 7 | b | 8 | 4.2 |
(1)则表格中a,b的值分别是a=________,b=________;
(2)分别运用表中的四个统计量,简要分析这两名队员的射击训练成绩.若选派其中一名参赛,你认为应选哪名队员?