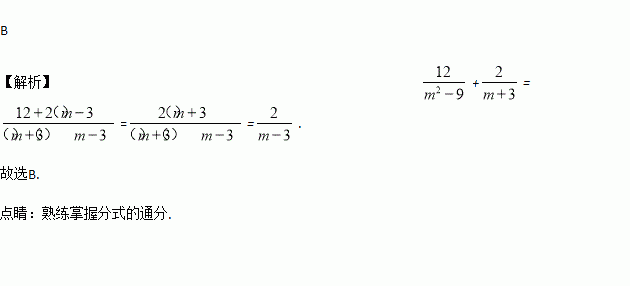
题目内容
化简的结果为( )
A. B. C. D.
如果最简二次根式与能够合并,那么a的值为( ).
A. 2 B. 3 C. 4 D. 5
请写一个图象在第二、四象限的反比例函数解析式: .
先化筒,再求值: ,其中a=2017.
两条直线相交成直角,就叫做两条直线互相垂直.这个句子是_____(填“定义”或“命题”).
已知点A(x1,y1)、B(x2,y2)在二次函数y=x2+mx+n的图象上,当x1=1、x2=3时,y1=y2.
(1)①求m;②若抛物线与x轴只有一个公共点,求n的值.
(2)若P(a,b1),Q(3,b2)是函数图象上的两点,且b1>b2,求实数a的取值范围.
(3)若对于任意实数x1、x2都有y1+y2≥2,求n的范围.
计算:.
某铁矿码头将运进铁矿石记为正,运出铁矿石记为负。某天的记录如下:(单位:t)+100,-80,+300,+160,-200,-180,+80,-160。
(1)当天铁矿石库存是增加了还是减少了?增加或减少了多少吨?
(2)码头用载重量为20t的大卡车运送铁矿石,每次运费100元,问这一天共需运费多少元?
某品牌手机的进价为1200元,按原价的八折出售可获利14%,则该手机的原售价为( )
A.1800元 B.1700元 C.1710元 D.1750元