题目内容
如图,航拍无人机从
处测得一幢建筑物顶部
的仰角为30°,测得底部
的俯角为60°,此时航拍无人机与该建筑物的水平距离
为90米,那么该建筑物的高度
约为__________米.(精确到1米,参考数据:
)
![]()
练习册系列答案
相关题目
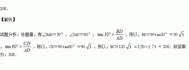
题目内容
如图,航拍无人机从
处测得一幢建筑物顶部
的仰角为30°,测得底部
的俯角为60°,此时航拍无人机与该建筑物的水平距离
为90米,那么该建筑物的高度
约为__________米.(精确到1米,参考数据:
)
![]()