题目内容
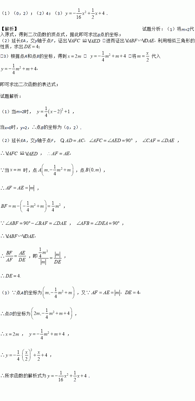
如图,在平面直角坐标系xOy中,抛物线
的顶点为A,与y轴的交点为B,连接AB,AC⊥AB,交y轴于点C,延长CA到点D,使AD=AC,连接BD,作AE∥x轴,DE∥y轴.
(1)当m=2时,求点B的坐标;
(2)求DE的长;
(3)设点D的坐标为(x,y),求y关于x的函数关系式.
![]()
练习册系列答案
相关题目
题目内容
如图,在平面直角坐标系xOy中,抛物线
的顶点为A,与y轴的交点为B,连接AB,AC⊥AB,交y轴于点C,延长CA到点D,使AD=AC,连接BD,作AE∥x轴,DE∥y轴.
(1)当m=2时,求点B的坐标;
(2)求DE的长;
(3)设点D的坐标为(x,y),求y关于x的函数关系式.
![]()