题目内容
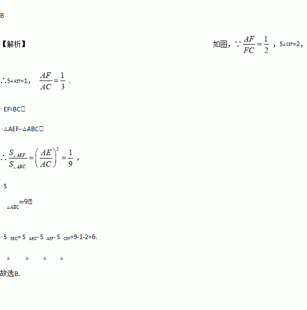
如图,在△ABC中,点E,F分别在边AB,AC上,EF∥BC,
,△CEF的面积为2,则△EBC的面积为( )
![]()
A. 4 B. 6 C. 8 D. 12
练习册系列答案
相关题目
二次函数y=ax2+bx+c(a,b,c为常数,且a≠0)中的x与y的部分对应值如下表:
X | ﹣1 | 0 | 1 | 3 |
y | ﹣1 | 3 | 5 | 3 |
下列结论:
⑴ac<0;
⑵当x>1时,y的值随x值的增大而减小.
⑶3是方程ax2+(b﹣1)x+c=0的一个根;
⑷当﹣1<x<3时,ax2+(b﹣1)x+c>0.
其中正确的个数为( )
A. 4个 B. 3个 C. 2个 D. 1个