题目内容
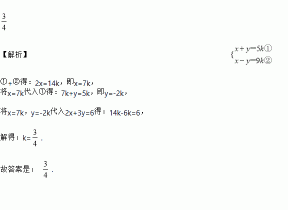
若关于x、y的二元一次方程组的解也是二元一次方程2x+3y=6的解,则k的值为______.
抛物线的顶点坐标是( )
A. (1,3) B. (,3) C. (, ) D. (1, )
如图,在某监测点B 处望见一艘正在作业的渔船在南北偏西15°方向的A处,若渔船沿北偏西75°方向以40海里/小时的速度航行,航行半小时后到达C处,在C处观测到B在C的北偏东60°方向上,则B,C之间的距离为________ 海里.
某酒店有三人间客房和双人间客房,收费标准:一间三人间每天150元,一间双人间每天140元.为了吸引游客,酒店实行团体入住五折优惠措施,一个46人的旅游团优惠期间到该酒店入住,住了一些三人间和双人间客房,若每间客房正好住满,且一天共花去住宿费1 310元,则该旅游团住了三人间和双人间客房各多少间?
已知,则x+y=________.
为了奖励进步较大的学生,某班决定购买甲、乙、丙三种钢笔作为奖品,其单价分别为4元、5元、6元,购买这些钢笔需要花60元;经过协商,每种钢笔单价下降1元,结果只花了48元,那么甲种钢笔可能购买( )
A. 11支 B. 9支 C. 7支 D. 4支
如图,在的正方形网格中,点P是的边OB上的一点.
(1)过点P画OB的垂线,交OA于点C;过点P画OA的垂线,垂足为H;
(2)线段PH的长度是点P到直线__________的距离;
(3)线段__________的长度是点C到直线OB的距离;
(4)线段PC、PH、OC这三条线段大小关系是__________(用“<”号连接).
命题“两直线平行,内错角的平分线互相平行”是真命题吗?如果是,请给出证明;如果不是,请举出反例.
若2x+y+2=0,则9x×3y-90的值为( )
A. -10 B. - C. D.