题目内容
.
下列说法正确的是( )
A. 弦是直径 B. 弧是半圆
C. 半圆是弧 D. 通过圆心的线段是直径
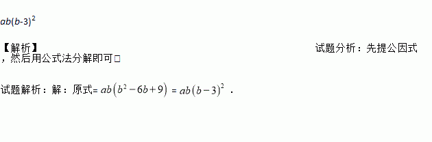
计算: .
如图,在△ABC中,点D、E分别在边BA、CA的延长线上, =2,那么下列条件中能判断DE∥BC的是( )
A. B. C. D.
如图,在四边形 中,,.请你添加一条线把它分成两个全等三角形,并给出证明.
若方程 的解是x=5,则k= ________.
不论为任何实数, 的值总是( ).
A. 非负数 B. 恒为正数 C. 恒为负数 D. 不等于0
如图,四边形ABCD是对角线互相垂直的四边形,且OB=OD,请你添加一个适当的条件_______,使ABCD成为菱形(只需添加一个即可)
如图,已知AB是⊙O的直径,点C、D在⊙O上,点E在⊙O外,∠EAC=∠D=60°.
(1)求∠ABC的度数;
(2)求证:AE是⊙O的切线;
(3)当BC=4时,求劣弧AC的长.