题目内容

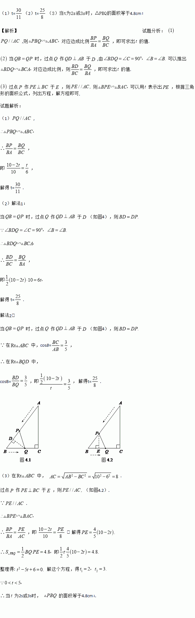
如图12,在△ABC中,∠C=90°,AB=10cm,BC=6cm. 点P从点A出发,沿AB边以2 cm/s的速度向点B匀速移动;点Q从点B出发,沿BC边以1 cm/s的速度向点C匀速移动. 当一个运动点到达终点时,另一个运动点也随之停止运动,设运动的时间为t(s).

(1)当PQ∥AC时,求t的值;

(2)当t为何值时,QB=QP;

(3)当t为何值时,△PBQ的面积等于4.8cm 2.

(1)t=(2)t=(3)当t为2s或3s时,△PBQ的面积等于4.8cm 2 【解析】试题分析: ,则对应边成比例,即可求出的值. 当时,过点作于,由可以推出对应边成比例,则,即可求出的值. 过点作于,则则可以用表示出,根据三角形的面积公式,列出方程,解方程即可. 试题解析: (1), ∴, 即 , 解得 t=. (2)解法1: 当时,...
练习册系列答案
相关题目

违法和不良信息举报电话:027-86699610 举报邮箱:58377363@163.com

精英家教网