题目内容
计算题
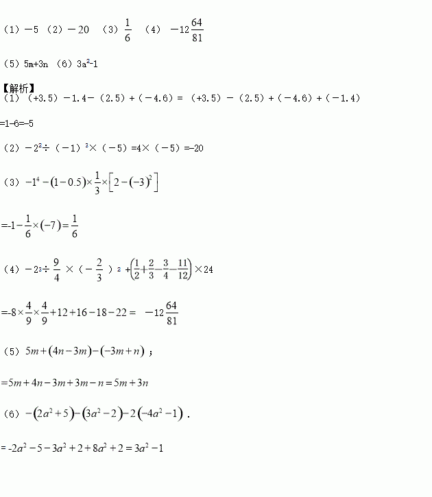
(1)(+3.5)-1.4-(2.5)+(-4.6)
(2)-22÷(-1)3×(-5)
(3)
(4)-23÷×(-)2 +×24
(5);
(6).
如图1和图2,∠ACB=90°,AC=BC,BD⊥DE,AE⊥DE,足分别为D、E.
(1)图1中,证明:△ACE≌△CBD;
(2)图2中,若AE=2,BD=4,计算DE的长.
若(x2-x+m)(x-8)中不含x的一次项,则m的值为( )
A. 8 B. -8 C. 0 D. 8或-8
爆破时,导火索燃烧的速度是每秒0.9cm,点导火索的人需要跑到离爆破点120m以外的安全区域,已知这个导火索的长度为18cm,那么点导火索的人每秒跑6.5cm是否安全?
已知⊙O的半径为4,A为线段PO的中点,当OP=10时,点A与⊙O的位置关系为( )
A. 点A在⊙O上 B. 点A在⊙O外
C. 点A在⊙O内 D. 不能确定
若xp + 4x3 - 6x2 - 2x + 5是关于x五次五项式,则-p= _____________。
下面用数学语言叙述代数式,其中表达不正确的是( )
A.比a的倒数小b的数
B.1除以a的商与b的相反数的差
C.1除以a的商与b的相反数的和
D.b与a的倒数的差的相反数
请在如图的各个圆圈内填上适当的数,使每个圆圈里的数都等于与它相邻的两个数的和,则a+b+c+d=______.
如图,已知抛物线y=x2+bx+c的对称轴为x=2,点A,B均在抛物线上,且AB与x轴平行,其中点A的坐标为(0,3),则点B的坐标为()
A. (2,3) B. (3,2) C. (3,3) D. (4,3)