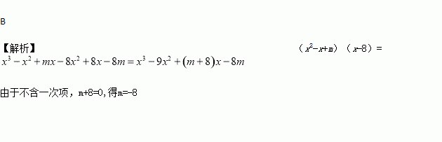
题目内容
若(x2-x+m)(x-8)中不含x的一次项,则m的值为( )
A. 8 B. -8 C. 0 D. 8或-8
随机地掷一枚均匀的硬币两次,两次都正面朝上的概率是( )
A. B. C. D.
如图所示,AB=AD,∠1=∠2,添加一个适当的条件,使△ABC≌△ADE,则需要添加的条件是___________.
计算:(2a)3•a2= ______ .
若代数式x2+kxy+9y2是完全平方式,则k的值是( )
A. 3 B. ±3 C. 6 D. ±6
到定点O的距离等于4的点的集合是______________.
计算题
(1)(+3.5)-1.4-(2.5)+(-4.6)
(2)-22÷(-1)3×(-5)
(3)
(4)-23÷×(-)2 +×24
(5);
(6).
如图,从边长为(a+3)cm的大正方形纸片中剪去一个边长为(a+1)cm的小正方形(a>0),剩余部分沿虚线剪开,重新拼成一个长方形(不重叠无缝隙),则此长方形的周长为( )
A. (4a+12)cm B. (4a+8)cm C. (2a+6)cm D. (2a+4)cm