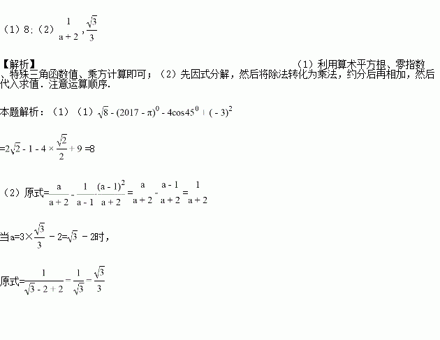
题目内容
(1) ![]()
(2)先化简,再求代数式
的值,其中
=3tan30°﹣2.
练习册系列答案
相关题目
某班数学兴趣小组10名同学的年龄情况如下表:
年龄(岁) | 12 | 13 | 14 | 15 |
人数 | 1 | 4 | 4 | 1 |
则这10名同学年龄的平均数和中位数分别是
A. 13.5,13.5 B. 13.5,13 C. 13,13.5 D. 13,14
题目内容
(1) ![]()
(2)先化简,再求代数式
的值,其中
=3tan30°﹣2.
某班数学兴趣小组10名同学的年龄情况如下表:
年龄(岁) | 12 | 13 | 14 | 15 |
人数 | 1 | 4 | 4 | 1 |
则这10名同学年龄的平均数和中位数分别是
A. 13.5,13.5 B. 13.5,13 C. 13,13.5 D. 13,14