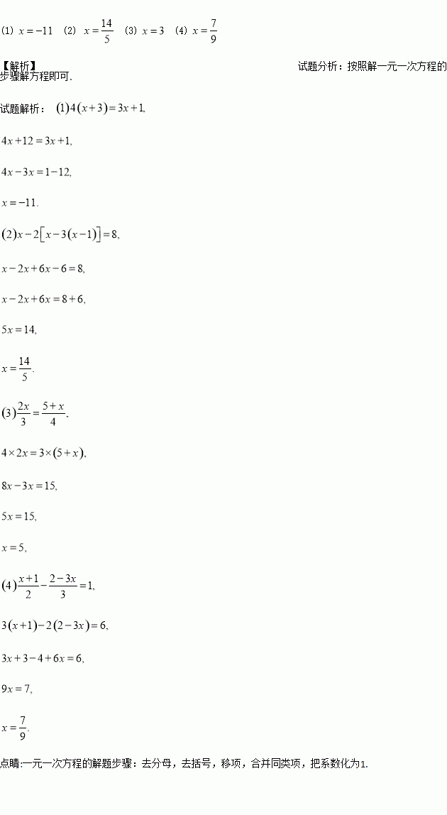
题目内容
解方程:
(1)4(x+3)=3x+1
(2)
(3)
(4).
如果将长为5cm宽为4cm的长方形纸片折叠一次,那么这条折痕的长不可能是( )
A. 6cm B. cm C. 7cm D. 1cm
如图,△ABC中,AB=AC,AD⊥BC,CE⊥AB,AE=CE.求证:
(1)△AEF≌△CEB;
(2)AF=2CD.
关于 的叙述正确的是( )
A. 在数轴上不存在表示的点 B.
C. 与最接近的整数是3 D.
元旦来临前,七年级(1)班课外活动小组计划做一批“中国结”.如果每人做6个,那么比计划多了7个;如果每人做5个,那么比计划少了13个.该小组计划做多少个“中国结”?
若一件衣服按原价的8折出售时,售价是40 元,则原价为_____________元.
观察下列各式:
……
计算:3×(1×2+2×3+3×4+…+99×100)= ( )
A. 97×98×99 B. 98×99×100 C. 99×100×101 D. 100×101×102
如图,∠AOB是放置在正方形网格中的一个角,则cos∠AOB的值是_____.
为执行“两免一补”政策,某地区2014年投入交于经费2500万元,预计2016年投入3600万元,这两年投入教育经费的年平均增长百分率是多少?