题目内容
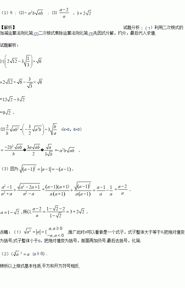
计算与化简(第1、2小题5分,第3小题6分,共16分)
⑴ ⑵ (a>0,b>0)
(3)若,先化简再求值.
如图,已知口ABCD中,AE⊥BC于点E,以点B为中心,取旋转角等于∠ABC,把△BAE顺时针旋转,得到△BA′E′,连接DA′.若∠ADC=60°,∠ADA′=45°,则∠DA′E′的大小为( )
A. 170° B. 165° C. 160° D. 155°
如图,△ABC和△ABD都是⊙O的内接三角形,圆心O在边AB上,边AD分别与BC,OC交于E,F两点,点C为的中点.
(1)求证:OF∥BD;
(2)若点F为线段OC的中点,且⊙O的半径R=6 cm,求图中阴影部分(弓形)的面积.
给出下列命题:①直径相等的两个圆是等圆;②长度相等的两段弧是等弧;③圆中最长的弦是过圆心的弦;④一条弦把圆分成两条弧,这两段弧可能是等弧.其中真命题是( )
A. ①③ B. ①③④ C. ①④ D. ①
证明:等腰梯形的两条对角线相等
如图,一个顶角为40°的等腰三角形纸片剪去顶角后,得到一个四边形,则∠1+∠2=________.
如果,那么 ( )
A. ≥6 B. ≥0 C. 0≤≤6 D . 为一切实数
如图,共有12个大小相同的小正方形,其中阴影部分的5个小正方形是一个正方体的表面展开图的一部分,现从其余的小正方形中任取一个涂上阴影,能构成这个正方体的表面展开图的概率是_________.
下列是无理数的是 ( )
A. 0.666… B. C. D. 2.626 266 62