题目内容
如图,在直角坐标平面内,直线![]()
与![]()
轴和![]()
轴分别交于A、B两点,二次函数![]()
的图象经过点A、B,且顶点为C.
(1)求这个二次函数的解析式;
(2)求![]()
的值;
(3)若P是这个二次函数图象上位于![]()
轴下方的一点,且![]()
ABP的面积为10,求点P的坐标.
![]()
(3)过P点作PQ![]()
x轴并延长交直线![]()
于Q
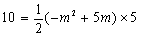
设点P![]()
),Q(m,-m+5)
![]()
=![]()
![]()
∵![]()
![]()
∴![]()
![]()
∴![]()
![]()
∴![]()
∴P(1,0)(舍去),P(4,-3)
练习册系列答案
相关题目
题目内容
如图,在直角坐标平面内,直线![]()
与![]()
轴和![]()
轴分别交于A、B两点,二次函数![]()
的图象经过点A、B,且顶点为C.
(1)求这个二次函数的解析式;
(2)求![]()
的值;
(3)若P是这个二次函数图象上位于![]()
轴下方的一点,且![]()
ABP的面积为10,求点P的坐标.
![]()
(3)过P点作PQ![]()
x轴并延长交直线![]()
于Q
设点P![]()
),Q(m,-m+5)
![]()
=![]()
![]()
∵![]()
![]()
∴![]()
![]()
∴![]()
![]()
∴![]()
∴P(1,0)(舍去),P(4,-3)