题目内容

对于平面直角坐标系xOy中的点P和⊙C,给出如下定义:如果⊙C的半径为r,⊙C外一点P到⊙C的切线长小于或等于2r,那么点P叫做⊙C的“离心点”.

(1)当⊙O的半径为1时,

①在点P1(),P2(0,-2),P3(,0)中,⊙O的“离心点”是

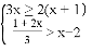
②点P(m,n)在直线上,且点P是⊙O的“离心点”,求点P横坐标m的取值范围;

(2)⊙C的圆心C在y轴上,半径为2,直线与x轴、y轴分别交于点A,B. 如果线段AB上的所有点都是⊙C的“离心点”,请直接写出圆心C纵坐标的取值范围.

练习册系列答案
相关题目

违法和不良信息举报电话:027-86699610 举报邮箱:58377363@163.com

精英家教网