题目内容
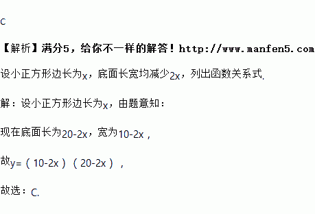
长为,宽为的矩形,四个角上剪去边长为的小正方形,然后把四边折起来,作成底面为的无盖的长方体盒子,则与的关系式为( )
A.
B.
C.
D.
⊙O半径为3cm,O到直线L的距离为2cm,则直线L与⊙O位置关系为( )
A. 相交 B. 相切 C. 相离 D. 不能确定
如图,有一个拱桥是圆弧形,它的跨度为,拱高为,当洪水泛滥跨度小于时,要采取紧急措施.若拱顶离水面只有时,问是否要采取紧急措施?
如图,一小孩将一只皮球从A处抛出去,它所经过的路线是某个二次函数图象的一部分,如果他的出手处A距地面的距离OA为1m,球路的最高点B(8,9),则这个二次函数的表达式为______,小孩将球抛出了约______米(精确到0.1m).
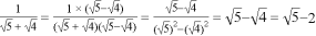
若,则________.
下列方程是一元二次方程的一般形式的是( )
阅读下列解题过程:
(1);
(2);
请回答下列问题:
(1)观察上面解题过程,请直接写出的结果为__________________.
(2)利用上面所提供的解法,请化简:
64的立方根是( )
A. 4 B. ±8 C. 8 D. ±4
已知,,则________,________.