ÌâÄ¿ÄÚÈÝ
ΪÁ˽âѧÉúµÄÒÕÊõÌØ³¤·¢Õ¹Çé¿ö£¬Ä³Ð£ÒôÀÖ×é¾ö¶¨Î§ÈÆ¡°ÔÚÎ赸¡¢ÀÖÆ÷¡¢ÉùÀÖ¡¢Ï·Çú¡¢ÆäËü»î¶¯ÏîÄ¿ÖУ¬Äã×îϲ»¶ÄÄÒ»Ïî»î¶¯£¨Ã¿ÈËÖ»ÏÞÒ»Ï¡±µÄÎÊÌ⣬ÔÚȫУ·¶Î§ÄÚËæ»ú³éÈ¡²¿·ÖѧÉú½øÐÐÎʾíµ÷²é£¬²¢½«µ÷²é½á¹û»æÖƳÉÈçÏÂÁ½·ù²»ÍêÕûµÄͳ¼ÆÍ¼£®

ÇëÄã¸ù¾Ýͳ¼ÆÍ¼½â´ðÏÂÁÐÎÊÌ⣺
£¨1£©ÔÚÕâ´Îµ÷²éÖÐÒ»¹²³é²éÁË______ÃûѧÉú£¬ÆäÖУ¬Ï²»¶¡°Î赸¡±»î¶¯ÏîÄ¿µÄÈËÊýÕ¼³é²é×ÜÈËÊýµÄ°Ù·Ö±ÈΪ______£¬Ï²»¶¡°Ï·Çú¡±»î¶¯ÏîÄ¿µÄÈËÊýÊÇ______ÈË£»
£¨2£©ÈôÔÚ¡°Î赸¡¢ÀÖÆ÷¡¢ÉùÀÖ¡¢Ï·Çú¡±»î¶¯ÏîÄ¿ÈÎÑ¡Á½ÏîÉèÁ¢¿ÎÍâÐËȤС×飬ÇëÓÃÁбí»ò»Ê÷״ͼµÄ·½·¨ÇóÇ¡ºÃÑ¡ÖС°Î赸¡¢ÉùÀÖ¡±ÕâÁ½Ïî»î¶¯µÄ¸ÅÂÊ£®
½â£º£¨1£©¸ù¾Ýϲ»¶ÉùÀÖµÄÈËÊýΪ8ÈË£¬µÃ³ö×ÜÈËÊý=8¡Â16%=50£¬
ϲ»¶¡°Î赸¡±»î¶¯ÏîÄ¿µÄÈËÊýÕ¼³é²é×ÜÈËÊýµÄ°Ù·Ö±ÈΪ£º
¡Á100%=24%£¬
ϲ»¶¡°Ï·Çú¡±»î¶¯ÏîÄ¿µÄÈËÊýÊÇ£º50-12-16-8-10=4£¬
¹Ê´ð°¸Îª£º50£¬24%£¬4£»
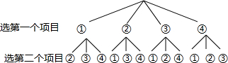
£¨2£©£¨ÓÃÊ÷״ͼ£©ÉèÎ赸¡¢ÀÖÆ÷¡¢ÉùÀÖ¡¢Ï·ÇúµÄÐòºÅÒÀ´ÎÊǢ٢ڢۢܣ¬

¹ÊÇ¡ºÃÑ¡ÖС°Î赸¡¢ÉùÀÖ¡±Á½Ïî»î¶¯µÄ¸ÅÂÊÊÇ
£»
£¨ÓÃÁÐ±í·¨£©
¹ÊÇ¡ºÃÑ¡ÖС°Î赸¡¢ÉùÀÖ¡±Á½Ïî»î¶¯µÄ¸ÅÂÊÊÇ
£®
·ÖÎö£º£¨1£©×ÜÈËÊý=²Î¼ÓijÏîµÄÈËÊý¡ÂËùÕ¼±ÈÀý£¬ÓÃϲ»¶¡°Î赸¡±»î¶¯ÏîÄ¿µÄÈËÊý³ýÒÔ×ÜÈËÊýÔÙ³Ë100%£¬¼´¿ÉÇó³öϲ»¶¡°Î赸¡±»î¶¯ÏîÄ¿µÄÈËÊýÕ¼³é²é×ÜÈËÊýµÄ°Ù·Ö±È£¬ÓÃ×ÜÈËÊý¼õÈ¥ÆäËû4¸öС×éµÄÈËÊýÇó³öϲ»¶¡°Ï·Çú¡±»î¶¯ÏîÄ¿µÄÈËÊý£»
£¨2£©¸ù¾ÝƵÂʵļÆËã·½·¨£¬ÓÃÑ¡ÖС°Î赸¡¢ÉùÀÖ¡±ÕâÁ½Ïî»î¶¯µÄÊý³ýÒÔ×ÜÊý¼ÆËã¼´¿É½â´ð£®
µãÆÀ£º±¾ÌâÖ÷Òª¿¼²éÌõÐÎͳ¼ÆÍ¼ÓëÉÈÐÎͳ¼ÆÍ¼µÄ×ÛºÏÔËÓã¬Óõ½µÄ֪ʶµãΪ£ºÈç¹ûÒ»¸öʼþÓÐnÖÖ¿ÉÄÜ£¬¶øÇÒÕâЩʼþµÄ¿ÉÄÜÐÔÏàͬ£¬ÆäÖÐʼþA³öÏÖmÖÖ½á¹û£¬ÄÇôʼþAµÄ¸ÅÂÊP£¨A£©=
£®×ÜÌåÊýÄ¿=²¿·ÖÊýÄ¿¡ÂÏàÓ¦°Ù·Ö±È£®
ϲ»¶¡°Î赸¡±»î¶¯ÏîÄ¿µÄÈËÊýÕ¼³é²é×ÜÈËÊýµÄ°Ù·Ö±ÈΪ£º
ϲ»¶¡°Ï·Çú¡±»î¶¯ÏîÄ¿µÄÈËÊýÊÇ£º50-12-16-8-10=4£¬
¹Ê´ð°¸Îª£º50£¬24%£¬4£»
£¨2£©£¨ÓÃÊ÷״ͼ£©ÉèÎ赸¡¢ÀÖÆ÷¡¢ÉùÀÖ¡¢Ï·ÇúµÄÐòºÅÒÀ´ÎÊǢ٢ڢۢܣ¬
¹ÊÇ¡ºÃÑ¡ÖС°Î赸¡¢ÉùÀÖ¡±Á½Ïî»î¶¯µÄ¸ÅÂÊÊÇ
£¨ÓÃÁÐ±í·¨£©
| Î赸 | ÀÖÆ÷ | ÉùÀÖ | Ï·Çú | |
| Î赸 | Î赸¡¢ÀÖÆ÷ | Î赸¡¢ÉùÀÖ | Î赸¡¢Ï·Çú | |
| ÀÖÆ÷ | ÀÖÆ÷¡¢Î赸 | ÀÖÆ÷¡¢ÉùÀÖ | ÀÖÆ÷¡¢Ï·Çú | |
| ÉùÀÖ | ÉùÀÖ¡¢Î赸 | ÉùÀÖ¡¢ÀÖÆ÷ | ÉùÀÖ¡¢Ï·Çú | |
| Ï·Çú | Ï·Çú¡¢Î赸 | Ï·Çú¡¢ÀÖÆ÷ | Ï·Çú¡¢ÉùÀÖ |
·ÖÎö£º£¨1£©×ÜÈËÊý=²Î¼ÓijÏîµÄÈËÊý¡ÂËùÕ¼±ÈÀý£¬ÓÃϲ»¶¡°Î赸¡±»î¶¯ÏîÄ¿µÄÈËÊý³ýÒÔ×ÜÈËÊýÔÙ³Ë100%£¬¼´¿ÉÇó³öϲ»¶¡°Î赸¡±»î¶¯ÏîÄ¿µÄÈËÊýÕ¼³é²é×ÜÈËÊýµÄ°Ù·Ö±È£¬ÓÃ×ÜÈËÊý¼õÈ¥ÆäËû4¸öС×éµÄÈËÊýÇó³öϲ»¶¡°Ï·Çú¡±»î¶¯ÏîÄ¿µÄÈËÊý£»
£¨2£©¸ù¾ÝƵÂʵļÆËã·½·¨£¬ÓÃÑ¡ÖС°Î赸¡¢ÉùÀÖ¡±ÕâÁ½Ïî»î¶¯µÄÊý³ýÒÔ×ÜÊý¼ÆËã¼´¿É½â´ð£®
µãÆÀ£º±¾ÌâÖ÷Òª¿¼²éÌõÐÎͳ¼ÆÍ¼ÓëÉÈÐÎͳ¼ÆÍ¼µÄ×ÛºÏÔËÓã¬Óõ½µÄ֪ʶµãΪ£ºÈç¹ûÒ»¸öʼþÓÐnÖÖ¿ÉÄÜ£¬¶øÇÒÕâЩʼþµÄ¿ÉÄÜÐÔÏàͬ£¬ÆäÖÐʼþA³öÏÖmÖÖ½á¹û£¬ÄÇôʼþAµÄ¸ÅÂÊP£¨A£©=
Á·Ï°²áϵÁдð°¸
Ïà¹ØÌâÄ¿