题目内容
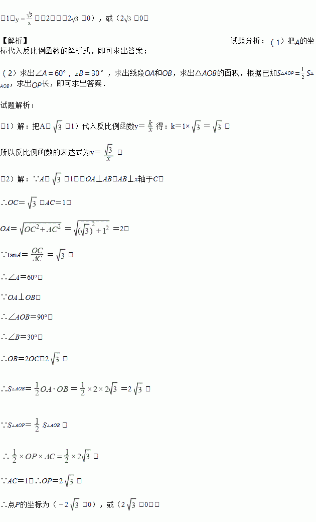
如图,OA⊥OB,AB⊥x轴于C,点A(,1)在反比例函数y=的图象上.
(1)求反比例函数y=的表达式;
(2)在x轴上存在一点P,使S△AOP= S△AOB, 求点P的坐标.
在直角三角形ABC中,∠ABC=90°,∠C=30°,AB=4,以B为圆心,BA为半径作⊙B交BC于点D,旋转∠ABD交⊙B于点E、F,连接EF交AC、BC边于点G、H.
(1)若BE⊥AC,求tan∠CGH的值;
(2)若AG=4,求△BEF与△ABC重叠部分的面积;
(3)△BHE是等腰三角形时,∠ABD逆时针旋转的度数是_____.
下列四个图形中,既是轴对称图形又是中心对称图形的是( )
A. B. C. D.
如图,线段AB经过平移得到线段A1B1,其中点A,B的对应点分别为点A1,B1,这四个点都在格点上.若线段AB上有一个点P(a,b),则点P在A1B1上的对应点P′的坐标为( )
A. (a-2,b+3) B. (a-2,b-3)
C. (a+2,b+3) D. (a+2,b-3)
如图,雷达探测器测得六个目标A,B,C,D,E,F,按照规定的目标表示方法,目标C,F的位置表示为C(6,120°),F(5,210°),按照此方法在表示目标A,B,D,E的位置时,其中表示不正确的是( )
A. A(5,30°) B. B(2,90°) C. D(4,240°) D. E(3,60°)
定义:A={b,c,a},B={c},A∪B={a,b,c},若 M={﹣1},N={0,1,﹣1},则 M∪N={______}.
一球鞋厂,现打折促销卖出330双球鞋,比上个月多卖10%,设上个月卖出 双,列出方程( )
A. 10%x=330 B. (1-10%)x=330 C. (1-10%)2x=330 D. (1+10%)x=330
如图,在△ABC中,D、E、F分别是AC、BC、AB上的点,且DE∥AB,DF∥BC,AF:FB=1:4,BC长为20cm,则BE的长为_____.
如图,在平面直角坐标系中,将矩形AOCD沿直线AE折叠(点E在边DC上),折叠后顶点D恰好落在边OC上的点F处,若点D的坐标为(10,8),求点E的坐标