搜索
题目内容
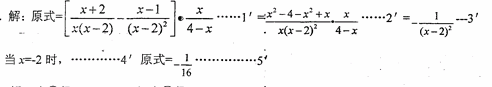
先化简
,再从-2,0,2,4中选择一个合适的数代入,求出这个代数式的值.
试题答案
相关练习册答案
练习册系列答案
1加1阅读好卷系列答案
专项复习训练系列答案
初中语文教与学阅读系列答案
阅读快车系列答案
完形填空与阅读理解周秘计划系列答案
英语阅读理解150篇系列答案
奔腾英语系列答案
标准阅读系列答案
53English系列答案
考纲强化阅读系列答案
相关题目
请你先化简,再从-1,0,1,2中给x选一个合适的数代入求值.
x
2
-1
x
2
+2x+1
÷
x
2
-x
x+1
.
先化简,再从四数0,1,2,3中选一个合适的数代入求值:(
3x
x-2
-
x
x+2
)÷
2x
x
2
-4
.
先化简,再从所给的数值中选取一个“恰当的”代入并求值:
(
1
x-1
+1)
÷
x
x
2
-1
(x=0,1,2)
.
(6分)请你先化简
,再从0,
, 2,1中选择一
个合适的数代入,求出这个代数式的值.
请你先化简
,再从-2 , 2,
中选择一个合适的数代入求值.
关 闭
试题分类
高中
数学
英语
物理
化学
生物
地理
初中
数学
英语
物理
化学
生物
地理
小学
数学
英语
其他
阅读理解答案
已回答习题
未回答习题
题目汇总
试卷汇总
练习册解析答案