题目内容

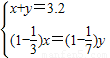
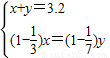
父子二人并排垂直站立于游泳池中时,爸爸露出水面的高度是他自身身高的,儿子露出水面的高度是他自身身高的,父子二人的身高之和为3.2米.若设爸爸的身高为x米,儿子的身高为y米,则可列方程组______
【答案】分析:根据题意可得两个等量关系:①爸爸的身高+儿子的身高=3.2米;②父亲在水中的身高(1-)x=儿子在水中的身高(1-)y,根据等量关系可列出方程组.
解答:解:设爸爸的身高为x米,儿子的身高为y米,由题意得:

故答案为:

点评:此题主要考查了由实际问题抽象出二元一次方程组,关键是弄清题意,找出题目中的等量关系,解决此题的关键是知道父亲和儿子没在水中的身高是相等的.
练习册系列答案
相关题目

违法和不良信息举报电话:027-86699610 举报邮箱:58377363@163.com

精英家教网