题目内容
如图,点E在正方形ABCD边BC上,连接AE,以AE为边作平行四边形AEFG,使FG经过点D,若正方形ABCD的边长是5cm,则平行四边形AEFG的面积是_____cm2.
命题“同位角相等,两直线平行”中,条件是 ________________ ,结论是______________.
已知:如图放置的长方形和等腰直角三角形EFG中,∠F=90°,FE=FG=4cm,AB=2cm,AD=4cm,且点F,G,D,C在同一直线上,点G和点D重合.现将△EFG沿射线FC向右平移,当点F和点C重合时停止移动.若△EFG 与长方形重叠部分的面积是4cm2,则△EFG 向右平移了____cm.
已知:如图,直线a,b被直线c所截,且a∥b.若∠1=70°,则∠2的度数是( )
A. B. C. D.
已知关于x的一元二次方程x2﹣(m+3)x+m=0.
(1)求证:无论实数m取何值,方程总有两个不相等的实数根;
(2)若方程一个根是2,求m的值.
已知反比例函数,当x>0时,y随x增大而减小,则m的取值范围是_____.
在下列四个新能源汽车车标的设计图中,属于中心对称图形的是 ( )
A. B.
C. D.
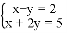
方程组的解是_____.
先化简,再求值:
,其中.