题目内容
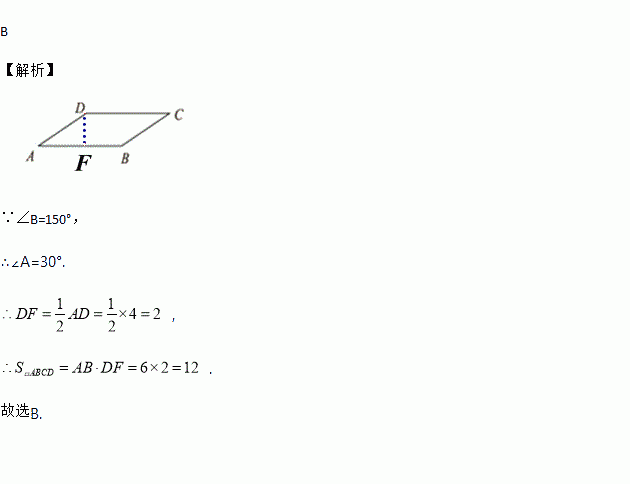
如图,若平行四边形ABCD中,AB=6,AD=4,∠B=150°,则平行四边形ABCD的面积为( )
A. 6 B. 12 C. D. 24
如图所示,△ABC中,AB+BC=10,A、C关于直线DE对称,则△BCD的周长是( )
A. 6 B. 8 C. 10 D. 无法确定
下列运算正确的( )
A. a3﹣a2=a B. a2•a3=a6 C. (a3)2=a6 D. (3a)3=9a3
如图,直线AD∥BE∥CF,BC=AC,DE=4,那么EF的值是 .
方程(2x+3)(x﹣1)=1的解的情况是( )
A. 有两个不相等的实数根 B. 没有实数根 C. 有两个相等的实数根 D. 有一个实数根
2016年3月国际风筝节期间,王大伯决定销售一批风筝,经市场调研:蝙蝠型风筝进价每个为10元,当售价每个为12元时,销售量为180个,若售价每提高1元,销售量就会减少10个,请回答以下问题:
(1)用表达式表示蝙蝠型风筝销售量y(个)与售价x(元)之间的函数关系(12≤x≤30);
(2)王大伯为了让利给顾客,并同时获得840元利润,售价应定为多少?
(3)当售价定为多少时,王大伯获得利润W最大,最大利润是多少?
二次函数y=ax2+bx+c(a≠0)的图象经过点(-2,0),(x0,0),1<x0<2,与y轴的负半轴相交,且交点在(0,-2)的上方,下列结论:
①b>0;②2a<b;③2a-b-1<0;④2a+c<0.其中正确结论是 _________(填正确序号)
一元二次方程(x - 2)2 = 9的两个根分别是( )
A. x1 = 1,x2 = -5 B. x1 = -1,x2 = -5
C. x1 = 1,x2 = 5 D. x1 = -1,x2 = 5
计算(x3)2的结果是( )
A. x5 B. x6 C. x8 D. x9