题目内容
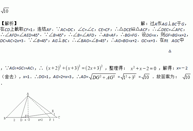
如图,在△ABC中,∠B=45°,在BC边上取一点D,使CD=CA,点E在AC上,连接ED,若∠AED=45°,且CE=1,BD=2,则AD的长是 .
中秋节当天,小明将收到的一条短信,发送给若干人,每个收到短信的人又给相同数量的人转发了这条短信,此时包括小明在内收到这条短信的人共有111人,问小明给( )人发了短信?
A. 10 B. 11 C. 12 D. 13
解不等式组,并写出不等式组的整数解.
如果□ABCD的周长为40cm,△ABC的周长为25cm,则对角线AC的长是( )
A. 5cm B. 15cm C. 6cm D. 16cm
某工厂签了1200件商品订单,要求不超过15天完成.现有甲、乙两个车间来完成加工任务。已知甲车间的加工能力是乙车间加工能力的1.5倍,并且加工240件需要的时间甲车间比乙车间少用2天.
(1)求甲、乙每个车间的加工能力每天各是多少件?
(2)甲、乙两个车间共同生产了若干天后,甲车间接到新任务,留下乙车间单独完成剩余工作,求甲、乙两车间至少合作多少天,才能保证完成任务.
不等式组的解集为 .
如图,△ABC中,DF∥BE,AD、BE相交于点G,下列结论错误的是( )
A. B.
C. D.
若关于x的不等式组的解集为-1<x<1,那么(a+1)(6+1)的值等于________
已知m是的整数部分,n是的小数部分,求的值.