题目内容
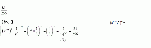
已知x-m=2,yn=3,则(x-2my-n)-4=_________.
(2x)3.(x3y+z)等于( )
A. 8x6y+x14z B. -8x6y+x3yz C. 8x6y+8x3z D. 8x6y+x3yz
已知m+n=3,m﹣n=2,则m2﹣n2=__.
下列各式计算结果等于a2b4-2ab2+1的是( )
A. (a2b2-1)2 B. (ab2+1)2
C. (ab2-1)2 D. (-a2b2-1)2
下列计算正确的是( )
A. (x+y)2=x2+y2
B. (2a-b)2=4a2-2ab+b2
C. (2x-3)2=4x2-12x-9
D. (x-1)2=x2-x+1
将,(-2)0,(-3)2这三个数按从小到大的顺序排列,正确的是( )
A. (-2)0<<(-3)2 B. <(-2)0<(-3)2 C. (-3)2<(-2)0< D. (-2)0<(-3)2<
计算: 等于( )
A. B. - C. 2 D. -2
已知一个由50个偶数排成的数阵.用如图所示的框去框住四个数,并求出这四个数的和.在下列给出备选答案中,有可能是这四个数的和的是( )
A. 80 B. 148 C. 172 D. 220
当x________时,代数式﹣6x+2的值不大于4.