题目内容
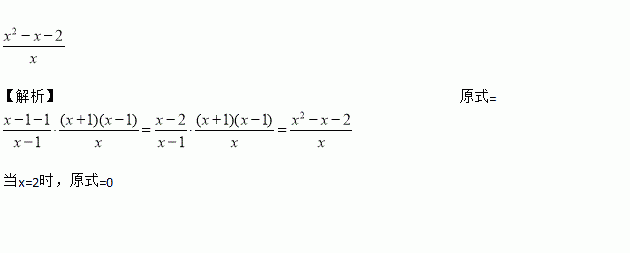
先化简:,再选择一个恰当的x值代入并求值.
已知函数y=-x2+2kx-4,在-1≤x≤2时,y≤0恒成立,则实数k的取值范围为( )
A. B. C. D.
解下列方程:(1)x+3x-1=0 (2)
若反比例函数的图象经过点(-5,2),则k的值为( )
A. -10 B. 10 C. -7 D. 7
国家自2016年1月1日起实行全面放开二胎政策,某计生组织为了解该市家庭对待这项政策的态度,准备采用以下调查方式中的一种进行调查:
A.从一个社区随机选取1 000户家庭调查;
B.从一个城镇的不同住宅楼中随机选取1 000户家庭调查;
C.从该市公安局户籍管理处随机抽取1 000户城乡家庭调查.
(1)在上述调查方式中,你认为比较合理的一个是.(填“A”、“B”或“C”)
(2)将一种比较合理的调查方式调查得到的结果分为四类:(A)已有两个孩子;
(B)决定生二胎;(C)考虑之中;(D)决定不生二胎.将调查结果绘制成如下两幅不完整的统计图.
请根据以上不完整的统计图提供的信息,解答下列问题:
①补全条形统计图.
②估计该市100万户家庭中决定不生二胎的家庭数.
甲、乙两名射击运动员各进行10次射击练习,总成绩均为95环,这两名运动员成绩的方差分别是,,则成绩更稳定的是___________(填“甲”或“乙”).
钓鱼岛是中国的固有领土,位于中国东海,面积约4400000平方米,数据4400000用科学记数法表示为( )
A. 44×105 B. 0.44×105 C. 4.4×106 D. 4.4×105
近来爱好跑步的人越来越多,人们对跑步机的需求也越来越大.图①、②分别是某种型号跑步机的实物图与示意图,已知踏板CD长为1.6m,CD与地面DE的夹角∠CDE为12°,支架AC长为0.8m,∠ACD为80°,则跑步机手柄的一端A的高度h四舍五入到0.1m约为( )(参考数据:sin12°=cos78°≈0.21,sin68°=cos22°≈0.93,tan68°≈2.48)
A. 0.9 B. 1.0 C. 1.1 D. 1.2
如图,边长为4的正方形AOCD的顶点A、C分别在y轴和x轴上,点P的坐标为(2,0),以点P为圆心,OP的长为半径向正方形内部作一半圆,交线段DF于点F,线段DF的延长线交y轴于点E,DF=DC.
(1)求证:DF是半圆P的切线;
(2)求线段DF所在直线的解析式;