题目内容
新定义[a,b]为一次函数(其中a≠0,且a,b为实数)的“关联数”,若“关联数”[3,m+2]所对应的一次函数是正比例函数,则关于x的方程的解为 .
工人师傅常用角尺平分一个任意角.做法如下:如图,∠AOB 是一个任意角,在边 OA 、 OB 上分别取OM=ON,移动角尺,使角尺两边相同的刻度分别与点 M 、N 重合,过角尺顶点 C 作射线 OC .由此..作法便可得△MOC ≌△NOC ,其依据是( )
A. SSS B. SAS C. ASA D. AAS
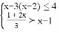
解不等式组,并写出其所有的整数解.
如图,与∠1是内错角的是( )
A. ∠2 B. ∠3
C. ∠4 D. ∠5
楼房AB后有一假山,其坡度为i=1:,山坡坡面上E点处有一休息亭,测得假山坡脚C与楼房水平距离BC=30米,与亭子距离CE=18米,小丽从楼房顶测得E点的俯角为45°,求楼房AB的高.(注:坡度i是指坡面的铅直高度与水平宽度的比)
如图,二次函数y=ax2+bx+c的图象与y轴正半轴相交,其顶点坐标为(,1),下列结论:①ac<0;②a+b=0;③4ac﹣b2=4a;④a+b+c<0.其中正确结论的个数是( )
A. 1 B. 2 C. 3 D. 4
下列车标图案中,是中心对称图形的是( )
A. B. C. D.
(3分)的平方根是 .
如图,在△ABC中,AD是BC边上的高,BE平分∠ABC交AC边于E,∠BAC=60°,∠ABE=25°.求∠DAC的度数.