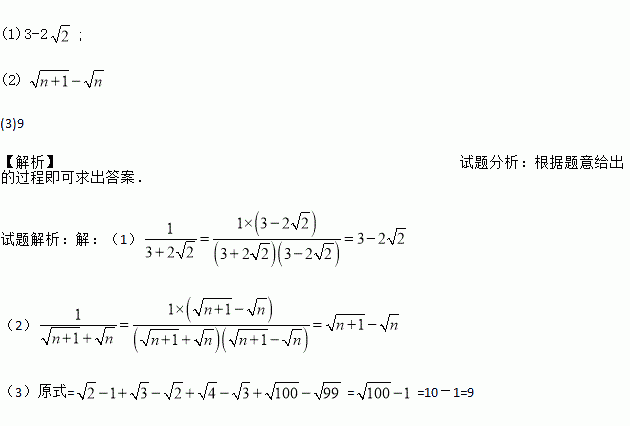
题目内容
阅读下面问题:
;
;……
试求:(1)的值; (2)(n为正整数)的值;
(3)的值。
如图数轴的A、B、C三点所表示的数分别为a、b、c.若|a﹣b|=3,|b﹣c|=5,且原点O与A、B的距离分别为4、1,则关于O的位置,下列叙述何者正确?( )
A. 在A的左边 B. 介于A、B之间 C. 介于B、C之间 D. 在C的右边
如图,若∠AOC=∠BOD,那么∠AOD与∠BOC的关系是( )
A.∠AOD>∠BOC B.∠AOD<∠BOC
C.∠AOD=∠BOC D.无法确定
已知反比例函数 和直线 在同一坐标系内的图象如图所示,其中正确的是( )
A. ①② B. ③④ C. ①③ D. ②④
一个不透明的袋子中有3个红球和2个黄球,这些球除颜色外完全相同.从袋子中随机摸出1个球,这个球是黄球的概率为
A. B. C. D.
求不等式组 的整数解
若使分式有意义,则的取值范围是____________.
()先化简,再求值,其中, .
()有一道题是一个多项式减法“”,小强误当成了加法计算,得到的结果是“”,请求出正确的计算结果.
如图,物体从A点出发,按照AB(第一步)C(第二步)DAEFGAB……的顺序循环运动,则第2018步到达()
A. A点 B. C点 C. E点 D. F点