题目内容
如图,邻边不等的矩形花圃ABCD,它的一边AD利用已有的围墙,另外三边所
围的栅栏的总长度是6m.若矩形的面积为4m2,则AB的长度是 m(可利用的围墙长
度超过6m).
如图,为半圆的直径,为的中点,交半圆于点,以为圆心,为半径画弧交于点,若,则图中阴影部分的面积是( )
A. B. C. D.
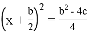
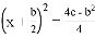
用配方法解关于x的方程x2+bx+c=0时,此方程可变形为( )
已知整式的值为6,则整式2x2-5x+6的值为( )
A. 9 B. 12 C. 18 D. 24
某商店如果将进货价为8元的商品按每件10元售出,每天可销售200件,现在采用提高售价,减少进货量的方法增加利润,已知这种商品每涨价0.5元,其销量就减少10件.
(1)要使每天获得利润700元,请你帮忙确定售价;
(2)问售价定在多少时能使每天获得的利润最多?并求出最大利润.
已知x1 , x2为一元二次方程2x2+3x﹣1=0的两个实数根,那么x12+x22=________.
关于x的一元二次方程(m﹣1)x2﹣x+m2﹣1=0的一个解是0,则m的值为( )
A. 0 B. ±1 C. 1 D. -1
若数轴上表示-1和3的两点分别是点A和点B,则点A和点B之间的距离是( )
A. B. C. 2 D. 4
某学校需要了解全校学生眼睛近视的情况,下面抽取样本的方式比较合适的是( )
A. 从全校每个班级中随机抽取10名学生作调查
B. 从九年级随机抽取一个班级的学生作调查
C. 从全校的女同学中随机抽取50名学生作调查
D. 在学校篮球场上随机抽取10名学生作调查